D'alembert pronunciation
Mactutor biographies
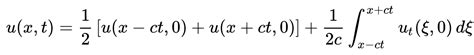
D'alembert formula
D'alembert principle
Geometry, which should only obey Physics, when united with it sometimes commands it. If it happens that the question which we wish to
Geometry, which should only obey Physics, when united with it sometimes commands it. If it happens that the question which we wish to